Como resolver raiz dentro de Raiz

writer: Daniel Matos

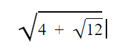
Vamos resolver o exemplo abaixo:

image

Nesses casos entendemos que:

Sendo A igual ao termo que está fora da raiz de raiz, nesse caso o 4, e o B o termo que está dentro da raiz de raiz, nesse caso 12

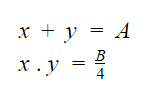
O x e o y são representados assim:

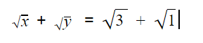
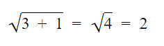
Trocando o A e o B pelos seus respectivos valores temos:

Os dois únicos números que multiplicados são 3 é 3 e 1. Logo, temos que 1 dos valores é 1 e o outro é 3.

Então...

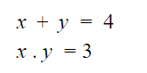
Juntando o 1 e o 3 na mesma raiz, já que os dois são raizes quadradas fica:

2 é a resposta

Voltar para a página inicial